アスク試験田の酒造好適米品種の作柄(2)
![]()
山形県内の酒米生産者は、酒造好適米の品質向上を図るため、玄米選別のふるい目幅をこれまでの2.0mmから2.1mmへと切り替えつつあります。この気運は酒米新品種「雪女神」の誕生で盛り上がり、「出羽燦々」の一大産地でもある金山町のJA金山酒米研究会(60数名)の篩目は29年産から2.1mmへと全面的に切り替わりました。
2.1mm選別で、大粒化、低タンパク化、耐高度精米などの品質向上のメリットがある半面、2.0mm選別よりは当然ながら減収します。また、2.1mm以上の割合、粒厚歩合と呼んでいますが、その歩合は毎年一定ではありません。出穂後の気象、面積当たりのモミ数、モミがらの大きさ、稲体栄養などなど、様々な要因が絡み合うからです。
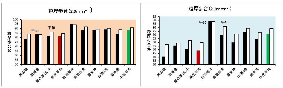
アスク試験田における粒厚歩合はどうだったでしょうか。その結果を棒グラフに示しました。上の図は2.0mm以上と2.1mm以上の粒厚歩合の値、右の図はそれらの対平年値です。これらの図から
① 2.0mm以上の粒厚歩合の対平年差は早生品種群(美山錦・羽州誉・龍の落とし子)は3.4ポイント、中生品種群(出羽燦々・出羽の里・山酒4号・酒未来・雪女神)は2.1ポイント低い(雪女神は28、29年の平均値)。
② 2.1mm以上の粒厚歩合の対平年差は早生群は10.7ポイント、中生群は7.4ポイント低く、2.0mmより大きく低下。
大粒米の歩合が平年値より低いのは、山形県30年産一般米と同傾向です。特異的なのが「出羽燦々」、2.0mmも2.1mmの粒厚歩合はいずれも平年を上回りました。他品種とは異なったのはなぜか?。さらに調査を進め後日報告しましょう。
2018年12月 1日 12:57








